Si a un grupo de matemáticos, actuarios, físicos, ingenieros, venga cualquier tipo de científico aosciado a las matemáticas (si es que no todos lo son), le pedimos que hiciera una lista con los 10 números más importantes para ellos, independiéntemente de cuales escogieran, en todas las listas estarían estos 5 números: 1, 0, e, π e i. De todos se puede decir algo importante aunque conciso:
1 indica la unidad, soporte del sistema de los números naturales. Presente en todas las culturas. (Número natural)
0 el vacío, carencia. Introducido (para algunos) por los Mayas. (Número entero)
e la constante de Euler, constante cuya maravilla es que la funcion dada por e elevada a cualquier potencia permanece intacto ante su integración. Es decir: el área debajo de la curva de dicha función es exactamente el valor de la función. Esto es único en el universo de las funciones. (Número irracional)
π relación entre el diámetro y la circunferencia del circulo. (Número irracional)
i raiz cuadrada de -1. Base de los números imaginarios o complejos. (Número complejo)
¿Estamos de acuerdo hasta aquí?
Definitivamente hay más números importantes y verdaderamente impresionantes como el 2 (único número par y a la vez primo), la phi, c (velocidad de la luz),… Pero estos 5 son los meros meros.
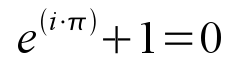
Fue Leonhard Euler quien vió a Dios asociando los 5 números más importantes en una sola ecuación:

Pues si, esta fórmula era para Euler (y para muchos) el diamante de las matemáticas. Si tienen matlab, maple o alguna calculadora científica inténtenlo y verán que si no les da 0, el error sería muy cercano a este.
Definitivamente esta es una de mis fórmulas favoritas, iiii ñor.
” … inténtenlo y verán que si no les da 0, el error sería muy cercano a este. ”
¿ el error o el resultado ?
Qué onda linuxman, pues en realidad los dos, si no es cero, el resultado sería muy cercano a cero y por ende el error también 😉
Me chocan los post que me hacen pensar, pero este ta bien chido.
Si tan solo hubiera seguido estudiando creo que lo disfrutaría mas 😀
No es “e^(pi*i) + 1 = 0”?
Si Rafa, ya que e^(pi*i) es la representación de i^2=-1 en la forma polar. Por lo tanto el signo debe ser +1
Basta preguntarle a Google para salir de dudas…
Ahora si queremos que la ecuación tenga el signo “menos” podríamos incluir el siguiente número que beco menciona (el dos)
Así e^(2pi*i)-1=0 (ya que e^(2pi*i)=e^((pi*i)^2)=(-1)^2=1)
Rafa tienes toda la razón, al igual que nacho, fue error mio al escribir la fórmula, corregido y gracias!
alguien sabe como: a partir de pi obtener las formulas de euler, leibniz, wallis etc. Como llegaron a esas formulas.
quisiera me ayudaran a encontrar a un primo que tengo en el d.f.,tengo 30 a~os que no se de el,se que vive en el d.f. y es actuario o era actuario y trabajaba en la compania de seguros hidalgo,el se llama hector gonzalez ortega y ahora tendria 65 65 a~os mas o menos,espero que alguien me ayude a encontrarlo,es muy importante. muchas gracias por sus atenciones.francisco ortega.
son muy buenos sigan aprendiendo se los dise su fand no01
chao un beso mmmmmmmmmmmmmmmmmuuuuuuuuuuuuuuuuuuuaaaaaaaaaaaaaaaaaaaa
no es necesario verificarlo con matlab, o alguna calculadora. Es evidente que:
e^(i*x) = cos(x) + isen(x), y si en este caso x=pi entonces:
e^(i*pi) = cos(pi) + isen(pi), cos(pi)=-1 y sen(pi)=0, -1+1=0
La verificacion verdadera la tengo hecha en mi Facebook, se hace a travez de algo llamado Polinomio de Mclaurin o tmb conocido como polinomio de taylor de entorno 0, es bastante sencilla y apacionande, SLDS!
*Apasionante 😛
Me da error matemático.
XD
En una calculadora científica.